1. Introduction
To survive and succeed, organizations must adapt and evolve in response to constantly shifting environmental circumstances (Hambrick, 1982; Lawrence, 1981). This is especially true for small- and medium-sized enterprises (SMEs) that strive to build and maintain a competitive advantage by employing competitive tactics that align firm resources and competencies with external demands to leverage environmentally embedded opportunities. In an effort to overcome many of the resource challenges they face, SMEs regularly employ, and increasingly rely on, strategic alliances to gain access to critical resources (Marino et al., 2002; O’Dwyer & Gilmore, 2018; Street & Cameron, 2007) and develop important reputational assets (Goldberg et al., 2003).
Through the development and management of strategic alliance portfolios (SAPs), SMEs can leverage the resources and capabilities of their partners to overcome resource insufficiency and gain advantages such as risk- and cost-sharing (Hagedoorn, 1993), uncertainty reduction (Dollinger & Golden, 1992), access to complimentary assets (Das & Teng, 2000; Yoo et al., 2016), and the ability to overcome resource, knowledge, and capability gaps (Arranz & de Arroyabe, 2008; Baum et al., 2000; Street & Cameron, 2007). Further, SMEs with a capability in alliance portfolio management can gain an advantage by coherently managing the multiplicity of a firm’s cooperative agreements (Goerzen, 2005; Schilke & Goerzen, 2010), becoming more proactive in choosing partners (Sarkar et al., 2009), and effectively orchestrating SAPs (Haider & Mariotti, 2016).
In attempting to understand the nature of SAPs, researchers have sought to meaningfully differentiate their key dimensions. Most commonly researched is portfolio extensiveness, or the number of agreements in which a firm is engaged (Wassmer, 2010; Wassmer et al., 2017). Less researched, yet equally important, is the diversity of cooperative agreements in which a firm is involved (R. J. Jiang et al., 2010). Research that focuses on SAP diversity largely centers on its consequences while the antecedents of this dimension remain relatively unexplored despite calls for additional research on understanding the emergence and configurations of alliance portfolios (Bakker & Knoben, 2014; Hoffmann, 2007; Wassmer, 2010), especially in the international context (Goerzen & Beamish, 2005; Marino et al., 2002; Tokman et al., 2020).
Two specific factors that impact SAP configuration are a firm’s entrepreneurial orientation (EO) and the national culture in which a firm is embedded (Goerzen & Beamish, 2005; X. Jiang et al., 2016; Marino et al., 2002; Tokman et al., 2020). A firm’s EO represents its willingness to engage in innovation, proactiveness, and risk-taking (Covin & Slevin, 1989; Miller, 1983) and closely relates to corporate entrepreneurship strategy (Ireland et al., 2009; Kreiser et al., 2021). In a study of international alliances, Marino et al. (2002) found that a firm’s EO was positively related to the extensiveness of a firm’s SAP. They reasoned that highly entrepreneurial firms seek to form multiple lines of inquiry into the external environment to gain access to critical resources and information while creating options as a hedge against uncertainty. Moreover, Brouthers et al. (2015) suggested that strategic alliances serve to enhance international performance when properly aligned with an SME’s EO.
The national culture in which the firm is embedded also influences how SMEs apply strategic alliances internationally (Steensma, Marino, & Weaver, 2000). Extending this logic, Marino et al. (2002) found that aspects of national culture impact SAP extensiveness in international SMEs. In an examination of the impact of SAP diversity on firm performance, Goerzen and Beamish (2005) posited that national culture impacts a firm’s ability to appropriate diverse interorganizational knowledge stemming from high levels of SAP diversity. Moreover, Filiou and Golesorkhi (2016) extended this line of inquiry by examining national culture’s differential impact on the relationship between a firm’s international alliance portfolio and its innovative performance.
Drawing on the social capital literature and complexity theory, we seek to develop a more comprehensive understanding of the antecedents of SAP diversity. Specifically, we examine the relationship between a firm’s EO and its SAP diversity as well as how national culture moderates this relationship. We suggest that firms with a higher level of EO are more likely to engage in diverse SAPs. Further, we assess the moderating effect of national culture on the EO–SAP diversity relationship by examining levels of uncertainty avoidance, individualism, and masculinity using a sample of 529 firms from five countries (i.e., Indonesia, Finland, Mexico, the Netherlands, and Sweden).
Our research offers two principal contributions to the literature on small businesses, entrepreneurship and strategic alliances. First, we contribute to strategic entrepreneurship research by shifting the level of analysis to focus on a firm’s SAP. Most previous alliance studies have focused on either alliance dyads or networks (Marino et al., 2002; Tokman et al., 2020). However, in this study, we investigate the role of SAP diversity in SMEs. Second, the study contributes to research on national culture and alliances by exploring the role of national culture as an antecedent of alliance configuration in SMEs. Most studies have examined alliance portfolio configuration in a single country and do not account for the potential influence of national culture (e.g., Duysters & Lokshin, 2011; Filiou & Golesorkhi, 2016; Goerzen & Beamish, 2005; R. J. Jiang et al., 2010; Reuer & Ragozzino, 2006). In contrast, we conduct our study in an international context with disparate national cultures as outlined in the work of Hofstede (1980).
This paper is structured in the following manner. First, we discuss the main tenets of social capital and complexity theory to provide a framework for our theoretical development. Second, we offer hypotheses detailing the nature of the EO–SAP diversity relationship and the moderating influence of national culture on this relationship. Methodology is clarified with specific explanations of sampling, data collection, measurement, and analysis. Lastly, we discuss the results and contributions of the study and provide suggestions for future research.
2. Theoretical Development
2.1. Social Capital and Strategic Alliance Portfolios
We draw upon the social capital literature to explain the theoretical rationale for how and why SMEs can achieve diverse SAPs. Social capital is defined as “the sum of the actual and potential resources embedded within, available through, and derived from the network of relationships possessed by an individual or social unit” (Nahapiet & Ghoshal, 1998, p. 451). In other words, social capital is embedded resources that can be attained and transferred with purposive action in a network of relationships (Kreiser et al., 2013; Lin, 2002). Considering this definition, social capital derives from collaboration, interaction, and the sharing of ideas within and between networks (Putnam, 1995). Therefore, an extensive network of ties can accelerate the interchange of non-redundant information and resources between parties, dependent on the structure of the network (Burt, 1992; Granovetter, 1973). Within this context, social capital plays an important role in various organizational activities (e.g., inter-firm learning, inter-unit, and inter-firm exchanges) as it supports knowledge absorption as well as resource access and control (Adler & Kwon, 2002; Nahapiet & Ghoshal, 1998).
SMEs are more likely than their larger counterparts to encounter resource constraints and difficulties related to growth and survival due to the liabilities of newness and smallness (Stinchcombe, 1965). To overcome these challenges and enhance their prospects, small firms can survive and ultimately achieve success through building alliances and establishing a strong network of external relationships (Baum et al., 2000). Diverse alliances and networks can serve as venues through which firms can access social capital and gain knowledge, thus facilitating learning (Yli-Renko et al., 2001). Learning is a primary benefit of developing alliances and engaging in strategic networks (e.g., Gulati, 1999; Inkpen, 2000). SMEs learn from alliances, particularly from collaborations that involve complementary resources (Yoo et al., 2016). In short, to overcome the liabilities of newness and smallness, SMEs can leverage strategic alliances to gain access to sources of new knowledge, legitimacy, status, and complementary assets (Baum et al., 2000; Fisher et al., 2017; X. Jiang et al., 2021).
In this context, we argue that social capital is essential to understanding the mechanisms of the EO–SAP relationship. SMEs are often flexible in terms of strategy formation, but commonly lack the resources and capabilities necessary to create a competitive advantage (Ireland et al., 2003). While entrepreneurial firms may have the ability to rapidly cope with shifting dynamism in the marketplace and environmental conditions (Hitt et al., 1991; Mayr et al., 2022), they also frequently face difficulties in obtaining and managing resources strategically (Ireland et al., 2003). To overcome these difficulties, SMEs can build and leverage their social capital by forming multiple and varied connections. To the extent that these connections can provide non-redundant access to critical information and resources, the firm will be better positioned when adapting to shifting environmental contingencies.
Therefore, it is critical for SMEs to form diverse SAPs that facilitate a variety of mechanisms by which they can gain access to necessary resources and information (X. Jiang et al., 2021). These SAP-derived network arrangements also be help SMEs to gain necessary knowledge. The flexibility in coping with various partners in their alliance portfolio may also enhance SMEs absorptive capacity by facilitating access to exclusive knowledge from alliance partners. In this sense, SMEs can survive complex environments and even develop more rapidly than larger firms through the employment of social capital. This is likely to be especially true for firms with a stronger EO, which represents a resource intensive strategic posture (Covin & Slevin, 1991). Therefore, heterogeneous resources from various network ties may serve as an entrepreneurial SMEs’ conduit to competitive advantage (Lin, 1999; Nahapiet & Ghoshal, 1998).
2.2. Complexity Theory and Strategic Alliance Portfolios
In the realm of organizational adaptation to external challenges, recent research has shifted towards employing complexity theory rather than contingency theory. Complexity theory, originating from various disciplines and applied in entrepreneurship studies (e.g., Chiles et al., 2010; Lichtenstein et al., 2007), focuses on understanding complex adaptive systems (Stacey, 1996). These systems involve interconnected agents interacting with each other and the environment, forming a co-evolving supra-system. Within management, complexity is seen as the interaction scope a firm has with diverse elements (Dess & Beard, 1984). As firms engage globally with varied entities, their supra-system’s complexity tends to grow, enhancing their adaptability and survival chances.
In adapting to intricate environments, firms may choose between complexity reduction via standardization or complexity absorption via diverse strategies (Boisot & Child, 1999). While both are valid, resource-constrained SMEs tend to lean towards complexity absorption, achieved even with limited resources. Strategic alliances enable SMEs to mirror environmental complexity by cultivating a diverse portfolio comprising various cooperative agreements. This diversity in external relationships contributes to the diversity of the SAP, aligning with prior research indicating that greater diversity and multiplicity in alliances leads to a more diverse SAP (Duysters & Lokshin, 2011; Marino et al., 2002; Powell et al., 2006).
2.3. The EO–SAP Diversity Relationship
SAP diversity can be conceptualized as the variety of cooperative agreements held by a firm (Goerzen & Beamish, 2005; Reuer & Ragozzino, 2006). The variety of agreements in a firm’s SAP can be enhanced through variations in the types of partners with which a firm has alliances, the types of governance structures used in those alliances, and the purpose of the alliances (R. J. Jiang et al., 2010). In complex environments, firms benefit from SAP diversity in two important ways. First, they gain access to a greater variety of information, knowledge, skills, and resources enabling them to effectively identify and capitalize on both exploration- and exploitation-based opportunities that may be present in a complex environment (Ardito et al., 2019; R. J. Jiang et al., 2010). Second, firms that wield a variety of governance mechanisms can increase the firm’s ability to “refine organization routines for cooperation and render them more versatile” (Powell et al., 1996, p. 1988). The firm’s versatility heightens its appeal as an alliance partner, enabling a refined selection of partners and deeper absorption of environmental complexity.
However, there are mixed and varied empirical results on the SAP–performance relationship. This is because the benefits of SAPs are contingent on numerous factors such as the external environment, strategies, partner and structural characteristics, and unique resources of the focal firm (Piening et al., 2016; Wuyts & Dutta, 2014). One of the critical factors that affect the SAP–performance relationship is the cost of maintaining SAPs. Creating and managing an SAP high in diversity is not costless. Previous studies have generally found a nonlinear association between some types of SAP diversity and firm performance (Chung et al., 2019; Goerzen & Beamish, 2005; R. J. Jiang et al., 2010; Wuyts & Dutta, 2014). For example, Goerzen and Beamish (2005) found that at relatively low levels of SAP diversity, as measured by industry and national background diversity, the costs associated with managing the increasing heterogeneity outweighed the benefits. Moreover, scholars have also found cost-related issues of SAPs such as relational risks, value appropriation concerns, complexity, and coordination issues (Baum et al., 2000; Hoffmann, 2007; Steensma, Marino, Weaver, et al., 2000; Lee et al., 2017).
Given the differential impacts reported between SAP diversity and firm performance, it is likely that some SMEs will focus on the potential benefits of SAP diversity while others are more likely to focus on the risks and costs. We posit that EO is an important component in influencing how firms will view the potential benefits and costs associated with SAP diversity and will affect the proclivity of an SME to craft a SAP high in diversity. EO refers to the propensity of a firm to take calculated risks, engage in new product-market innovation, and exhibit proactive strategies in the pursuit of market opportunities (Anderson et al., 2015; Covin & Slevin, 1991). In line with the arguments of complexity absorption, EO plays a pivotal role in enabling firms to identify and capitalize on opportunities within intricate environments (Kreiser et al., 2020). Tan (1996) observed in a study of Chinese SMEs that higher environmental complexity correlated positively with innovativeness and risk-taking. However, for firms to embody innovation, risk-taking, and proactivity, the availability of resources is crucial (Hughes et al., 2021).
SMEs suffer from the liabilities of newness and smallness, which may impact their access to resources (Stinchcombe, 1965). The lack of appropriate knowledge-based resources at inopportune times can be at least partially mitigated through the social capital that SMEs have established. Through a diverse network of relationships, SMEs can learn from alliance partners by establishing trust and sharing information without actually owning the specific resources that are needed (Baum et al., 2000; Kale et al., 2000). By engaging in strategic alliances, SMEs enhance their resource accessibility, enabling the sustained innovation essential for EO (Miller, 1983). Numerous studies have highlighted how SMEs utilize strategic alliances to overcome resource deficiencies and drive innovation endeavors (Hewitt-Dundas, 2006; Tiessen, 1997). Analyzing Spanish manufacturing firms, Nieto and Santamaría (2010) suggested that cooperative R&D acts as an input to the innovation process allowing SMEs to increase internal resources.
SMEs that are innovative, risk-taking, and proactive are more likely to engage in diverse SAPs. Innovative firms are more likely to invest in R&D alliances and develop diverse interfirm linkages (Powell et al., 1996). This was confirmed by Faems et al. (2005) and Duysters and Lokshin (2011), who suggested that innovative firms have more heterogeneous alliance portfolios. Varied connections not only enhance the firm’s resource accessibility but also augment its capacity to oversee collaborative networks. Based on a study by Ramachandran and Ramnarayan (1993), entrepreneurs high in innovation were more likely to build networks with multiple partners and varying resources. Moreover, Golonka (2015) also found a positive relationship between SMEs’ innovativeness and the number of ties in their alliance portfolio. Therefore, as the level of innovation within an SME rises, correspondingly, its diversity within the SAP will also increase.
A firm’s risk-taking propensity is also likely to positively influence its willingness to craft diverse SAPs. When entering any alliance, firms are exposed to relational risks (Steensma, Marino, Weaver, et al., 2000), especially when these alliances involve resources with a high degree of specificity. As the heterogeneity of alliance partners and governance types increases, firms may have to work with partners that are increasingly dissimilar which leads to increased perceptions of relational risk (Parkhe, 1993). Firms that are more comfortable with the calculated risks associated with entrepreneurial activities (Kuratko et al., 2014; Morris et al., 2011) will be more likely to expose themselves to the relational risks associated with higher levels of SAP diversity. Moreover, firms tend to accept higher risks through SAP management to gain strategic flexibility (Bakker & Knoben, 2014) and access to critical resources.
Lastly, firms with high proactiveness tend to establish and manage diverse SAPs. Proactiveness reflects the scope with which a firm anticipates and acts on future market demands and opportunities (Lumpkin & Dess, 1996; Miller & Friesen, 1978) and thus, is more likely to pursue opportunities in its external environment (Lumpkin & Dess, 2001). Strategic alliances aid environmental scanning and provide access to novel information from linked partners (Duysters & Lokshin, 2011; Li et al., 2017). Environmental scanning enables a firm to identify partners that allow them to enhance the development of the firm’s R&D (Danneels, 2008) and generate ideas for innovative products and services (e.g., Hyland & Beckett, 2005). More diverse partners are likely to enhance the creativity of the firm as it leverages disparate information flows to solve novel problems. Accordingly, proactive firms are not only inclined to have a higher number of agreements but also tend to construct a diverse portfolio of agreements, aiming to secure a wider array of information—c.f., Belderbos et al. (2006), who established positive performance effects when firms simultaneously engage in multiple R&D cooperation. The facilitation of a diverse SAP is further supported by an SME’s proactive approach in accessing new ideas via product R&D cooperative agreements (e.g., Haeussler et al., 2012; Nieto & Santamaría, 2010), generating novel concepts through production cooperative agreements (e.g., Michaelides et al., 2013), and promoting products through marketing cooperative agreements (e.g., O’Dwyer et al., 2011). Moreover, Golonka (2015) found a positive influence of SME’s proactiveness toward the number of ties in their alliance portfolio. Taken together, the three dimensions of EO act in concert to encourage higher levels of SAP diversity in SMEs. Based on the preceding, we hypothesize that:
H1: A firm’s EO is positively associated with SAP diversity.
2.4. Cultural Influences on the EO–SAP Diversity Relationship
Given the advantages of complexity absorption via strategic alliances, an inquiry emerges regarding why pursuit of such connections among international SMEs is not more widespread. While some lack access to suitable partners, others may refrain from pursuing alliances due to the perceived costs and risks associated with such agreements (e.g., Baum et al., 2000; Das & Teng, 2001; Duysters & Lokshin, 2011; Goerzen & Beamish, 2005). Hence, several studies suggest that alliances have a higher rate of failure than single ventures (e.g., Das & Teng, 2001; Morris et al., 2011). In particular, the national culture inherent to the firm’s home country has previously been established as impacting the propensity to apply strategic alliances internationally (e.g., Golonka & Rzadca, 2013; López-Duarte et al., 2016; Robson et al., 2008). These cultural differences can be expected to impact the relationship between EO and SAP diversity.
Cultural tendencies (in particular uncertainty avoidance, masculinity and individualism) have been found to play a role in strengthening or weakening the effect of EO on key organizational variables (e.g., Basco et al., 2020; Kreiser et al., 2010; Lumpkin & Dess, 1996; Semrau et al., 2016) and may be expected to influence alliance formation (e.g., Golonka & Rzadca, 2013; López-Duarte et al., 2016; Steensma, Marino, & Weaver, 2000; Steensma, Marino, Weaver, et al., 2000). Past research has shown that a society’s cultural tendencies are a “salient overriding factor within which the other differences [e.g., the strength of EO] may exert its own influence” (Kumar & Das, 2010, p. 13). Hence, it is pivotal to understand SAP formation within firms’ broader social context in order to make accurate predictions about the impacts and influences of EO on SAP diversity.
2.4.1. Uncertainty Avoidance
Uncertainty avoidance refers to a society’s inclination to accept or feel threatened by ambiguity (Hofstede, 1991). Firms with a high EO that pursue a diverse SAP encounter two distinct forms of uncertainty. The first type is unpredictability with regard to the external environment and the ability of the firm to secure critical resources and information. SMEs from cultures high in uncertainty avoidance are likely to view multiple alliances and a greater variety of alliances as a tool to ensure the continued flow of these critical resources. The second type of uncertainty regards is relational risk (Steensma, Marino, Weaver, et al., 2000). Relational risks are encountered when a firm enters a strategic alliance and becomes dependent on another firm. If the partner were to act opportunistically, the focal firm would be exposed to this behavior and could be damaged by the loss of key resources and assets. The closer two firms are tied, the greater the relational risk to which each is exposed. Entrepreneurial firms from cultures higher in uncertainty avoidance can be expected to view SAP diversity as a tool that can help manage these relationship risks through the multiplicity in their alliance partner relationships. Thus, with regard to both types of uncertainty, we can expect that the EO–SAP diversity relationship will be strengthened as a culture’s uncertainty avoidance increases.
2.4.2. Individualism
Individualism describes the degree to which members of a society differ on their perceptions of the legitimacy and desirability of individual or collective action (Hofstede, 1991). Whereas individualistic societies are grounded in autonomy and consist of loosely knit ties between members, collectivistic societies are composed of a tight social structure enforcing in- and outgroups (Hofstede, 1991). According to Steensma et al. (2000), the propensity to pursue group affiliation is higher in collectivist than in individualistic societies. Upon initial consideration, it might seem that individuals in an individualistic society would steer clear of strategic alliances to avoid affiliations. However, due to limited resources, SMEs from such societies with a strong EO still utilize strategic alliances to leverage social capital and manage complexity. The level of individualism within a society shapes the nature of these alliances, with a preference for weaker ties to facilitate easy disengagement from unsuccessful alliances (Gaganis et al., 2019; Marino et al., 2002; Tiessen, 1997). Societies valuing individualism tend to favor contract-based alliances over equity ties, aligning more with the market-oriented spectrum of alliances (Steensma, Marino, Weaver, et al., 2000). As such, individualism would weaken the EO and SAP diversity relationship, as entrepreneurial firms from more individualistic countries are more likely to perceive the costs of managing heterogeneous partnerships than the benefits.
2.4.3. Masculinity
Societies also vary based on the extent to which they (a) value assertiveness and win-lose situations (i.e., societies with masculine values) and (b) value compromise, negotiation and win-win scenarios (i.e., societies with feminine values; Hofstede, 1991). Entrepreneurial firms from more masculine cultures are likely to recognize the need to enter into alliances to secure critical resources and information flows but will tend to focus on the potential costs associated with managing a diverse SAP. These firms are likely to place a greater focus on relational risks arise in an alliance due to their proclivity to view alliances as win-lose arrangements. Accordingly, they would be more inclined to place less value on the potential benefits of alliance diversity than on the ability to control a more homogenous alliance portfolio. Alternately, firms from more feminine cultures are likely to perceive the potential benefits associated with a diverse SAP as providing a greater ability to develop solutions that can meet the needs of multiple parties. These firms are more likely to value the multiple perceptions and inputs that can be derived from a diverse SAP and will be less concerned with the relational risks they may face by entering these arrangements. Thus, masculinity is likely to weaken the EO–SAP diversity relationship as firms in masculine societies tend to aim for minimizing potential losses in competitive scenarios. Therefore, we hypothesize that:
H2: The national culture from which a firm originates moderates the EO–SAP diversity relationship. Specifically:
H2A: Uncertainty avoidance strengthens the EO–SAP diversity relationship.
H2B: Individualism weakens the EO–SAP diversity relationship.
H2C: Masculinity weakens the EO–SAP diversity relationship.
3. Methods
3.1. Data Collection
In this study, we used data from 529 SMEs in Indonesia, Finland, Mexico, the Netherlands, and Sweden. Data were drawn from the Strategic Alliance Research Group dataset. We used SMEs as our research setting for several reasons. First, scholars have emphasized the importance of understanding SMEs in alliance research (Bakker & Knoben, 2014; Hoehn-Weiss & Karim, 2014; Schilling, 2009). Second, SMEs are among the main drivers of innovation and are essential to economic activity (Mulhern, 1995). Lastly, considering our research purpose of understanding the impact of firms’ entrepreneurial behavior on portfolio diversity, SMEs represent a particularly salient research context since most SMEs have less control over resources than larger firms and therefore experience more pressures from external stimuli (Barnett, 1997).
In this context, independent firms with between six and 500 employees were used as a source from which to draw our sample. Utilizing a key-decision-maker protocol, owners and/or general managers were randomly selected to receive the survey due to their comprehensive knowledge regarding their respective firms (Lumpkin & Dess, 1996; Miller, 1983). SMEs were randomly chosen from eleven distinct industry sectors, each representing major industrial classifications within the Gross Domestic Product (GDP) of their respective countries. Companies from food, printing, wood, rubber, chemicals, transportation, electronics, programming, textiles, oil/gas, and service sectors were included.
Due to the international scope of the survey, the original English version was translated into each respective language using the double-back translation method (Brislin, 1980). In each country, the survey was executed using a two-wave mailing process. To overcome difficulties in the mail service, private couriers were used in Indonesia and on-site structured interviews by trained interviewers were conducted in Mexico. Overall, we sent out 2,173 surveys and 1,072 (49.3 percent) of the addressed SMEs responded. Non-response bias was examined utilizing a small (30-50 firms) post-survey follow up with non-respondents. Their lack of response was most commonly attributed to lack of time, the length of the questionnaire, and recipient-perceived irrelevance of the questions. To ensure that only decision-makers’ responses were included, only surveys that were completed by respondents with the appropriate title and an equity stake in the company were included for further consideration in the analysis. After determining which surveys satisfied all sampling criteria, we retained 529 SMEs, which represented an overall response rate of 24.3 percent. Overall and country-specific response rates are reported in Table 1.
3.2. Measures
3.2.1 Dependent Variable – SAP Diversity
The measure of SAP diversity used in this study is intended to capture the variety of linkages in a firm’s SAP. Every firm was tasked with specifying the frequency of their involvement across fourteen distinct types of cooperative agreements, encompassing areas such as licensing agreements, product R&D alliances, joint ventures, and equity agreements with larger firms. This is the predominant method for capturing SAP diversity in the management literature (e.g., R. J. Jiang et al., 2010; Powell et al., 1996; Stearns et al., 1987). Moreover, this method has the fundamental characteristic of creating an index that was derived from the count of each type of linkage within a firm’s portfolio, calculated as a proportion relative to the firm’s total number of linkages (i.e., a variation of the Blau Index of Variability; Blau, 1977). This measure is calculated using the formula C = Σ (li2) / L2, where li represents the number of alliances of type i in a firm’s portfolio and L is the total number of the firm’s alliances of all types. The resulting value from this formula is then subtracted from 1, producing an index that quantifies diversity as a continuous variable constrained between 0 (indicating low diversity) and 1 (reflecting high diversity). SMEs reporting no alliances were assigned a score of 0, signifying the absence of diversity in their strategic alliance portfolios.
3.2.2. Independent Variable – EO
EO was measured using the work of Miller (1983) and Covin and Slevin (1989). This EO scale has shown high levels of reliability and validity in various studies (e.g., Engelen et al., 2016; Marino et al., 2002) and is established as “a central construct in both the strategic management and entrepreneurship literatures” (Short et al., 2009, p. 12). Due to a lack of meaningful differentiation between the two items related to aggressiveness and boldness when translated across a broad set of countries, the original nine-item scale was reduced to an eight-item scale ( = .79) using a psychometric analysis of the items. A reduction of the entrepreneurial scale as utilized in this study is not unusual depending on the research (e.g., Hodgkinson et al., 2023; Wiklund, 1999).
3.2.3. Moderating Variable – National Culture
National culture was measured using the three cultural dimensions of uncertainty avoidance, masculinity, and individualism developed by Hofstede (1980, 1991). This model is widely used for various reasons, including its reliability and validity as an established framework (Shane, 1994) and the parsimony of the measurement approach (McGrath et al., 1992). Moreover, the framework has been employed exclusively in entrepreneurship research (e.g., Kreiser et al., 2010; Shinnar et al., 2012).
3.2.4. Control Variables
Firm performance and firm size were used to control for potential firm-level effects. As quantitative financial measures were not accessible, performance satisfaction was computed by adding the product of importance (rated from 1 to 5, indicating little to very important) and satisfaction (rated from 1 to 5, representing low to high satisfaction) scores across each of the seven elements (sales, sales growth, cash flow, net profit, gross profit margin, return on investment, and ability to fund business growth from profits). The number of employees was used to account for firm size, as firm size may influence the relationship between EO and other variables (Sirén et al., 2017). This is consistent with Covin and Slevin (1989) and considered appropriate to provide a measure for a small and closely held firm’s resource sufficiency (Gulati, 1993).
With regard to potential industry effects, we controlled for type of industry, environmental dynamism, and munificence. Within the survey, participating firms specified their primary industry (eleven industry sectors were included in the analyses). The assessment of environmental dynamism and munificence was derived from Covin and Slevin (1989). Munificence was evaluated through a four-item, five-point scale, incorporating industry profits, market growth rates, and market potential ( = .71). Dynamism was gauged using a four-item, five-point scale encompassing production technology, changes in marketing practices, products and services, and the predictability of competitor actions ( = .65).
4. Results
Hierarchical general linear regression was used to evaluate the hypothesized relationships. Three interaction terms were used to examine the interaction between national culture and EO. All variables were mean-centered before computing the interaction terms, which were then entered in the last stage of the regression analysis. Table 2 shows the descriptive statistics for the sample. The average firm size was 67.48 employees and the average level of SAP diversity was 0.43.
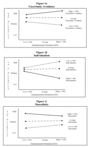
Table 3 displays the regression results. In the first stage of the analysis, only control variables are included in the model. The overall model was significant with an adjusted R2 of 21 percent (p < .001). In the second stage of the regression, the main effect for EO was significant and positive (β = 0.192; p < .001), increasing the adjusted R2 of the model to 24 percent (p < .001). As such, Hypothesis 1 is supported. In the third stage of the regression, the interaction terms were entered. There was a significant change in the adjusted R2 of the overall model to 26 percent (p < .001). As expected, the positive coefficient for the EO–uncertainty avoidance interaction (β = 2.724; p < .05) suggests that uncertainty avoidance intensified the EO-SAP diversity relationship. Conversely, the negative coefficients related to the EO–individualism (β = -4.318; p < .01) and EO–masculinity (β = -2.563; p < .01) interactions signify that individualism and masculinity attenuated the relationship between EO and SAP. As such, Hypotheses 2A, 2B, and 2C are supported. Figure 1 depicts the interaction results.
5. Discussion
Efficiently managing strategic alliances and balancing relationship partners can yield various benefits for SMEs. Well-managed SAPs not only enable firms to bridge resource, skill and knowledge gaps, but also increase firm performance, survivability and provide the basis for competitive advantage. International SMEs navigating the complexities of global business can leverage a well-curated portfolio of agreements to access resources as well as absorb and capitalize on complexity. Such an approach allows SMEs to swiftly identify and seize emerging opportunities, thus lengthening the period of competitive exploitation. We find support that EO affects the propensity of SMEs to become involved in diverse SAPs via social capital and complexity absorption. Moreover, our findings demonstrate that national culture influences the EO–SAP diversity relationship, but varying dimensions of national culture generate differential influences. Considering the results from the analysis, various conclusions can be drawn.
Strategic alliances are one of the tools most commonly employed by SMEs to overcome the liabilities of both newness and smallness. The results of this study indicate that SMEs’ proclivity to engage in diverse SAPs and harvest the benefits of social capital and complexity absorption is influenced by their EO. Given resource constraints, employing strategic alliances with various and diverse partners may be one mechanism by which SMEs are able to match the complexity present in their external environment and to act entrepreneurially. Yet, EO is not the only factor in determining the complexity of the SAP. Depending on the respective national culture in which the company operates, SMEs are not likely to equally derive the advantages linked to strategic alliances. In particular, we found that the degrees of individualism and masculinity act to weaken the relationship between EO and SAP diversity, while levels of uncertainty avoidance tend to strengthen the EO–SAP diversity relationship.
Drawing upon a conceptual framework rooted in social capital and complexity theories, the significance of the main effect for EO provides a broader understanding of how SMEs’ entrepreneurial behaviors impact the development of alliance portfolios. SMEs with high proactiveness, risk-taking, and innovativeness tend to establish more diverse SAPs, which in turn increase their access to critical resources and options for future positioning. Applying a portfolio approach, if environmental uncertainty increases, firms may use strategic alliances as a means of hedging against unpredictable external changes (e.g., McCarter et al., 2011). These findings provide valuable information about the potential antecedents of SAP diversity. As we have demonstrated, although the impact of EO on SAP diversity holds significance, it is essential to recognize that the intensity of this relationship is contingent upon the national culture of the firm’s origin.
This work extends extant research on small business strategy in two important ways. First, much of the existing research focusing on alliances in SMEs has focused on either alliance dyads or networks (e.g., Marino et al., 2002; Tokman et al., 2020). In our research, we shift the level of analysis to a firm’s SAP. This is an important contribution as it allows us to view the leader of an entrepreneurial venture as the purposeful architect of a firm’s cooperative agreements. This shift opens the door for additional inquiries based on the resource-based view of the firm and strategic choice to explore the extent to which SMEs can benefit from developing an alliance-management capability. Extant research in the organizational literature indicates that such a capability can create a competitive advantage for larger firms (Haider & Mariotti, 2016; Hoffmann, 2007; R. J. Jiang et al., 2010; Sarkar et al., 2009; Wassmer, 2010; Wassmer et al., 2017) but there is relatively little research exploring the role of this capability in smaller and more entrepreneurial firms. Our study extends the work of Marino et al. (2002) and Rothaermel and Deeds (2006) in exploring the role of SAPs in smaller and more entrepreneurial firms. Future research should focus on comparing the antecedents, consequences, and configurations of alliance portfolios in entrepreneurial firms as compared to their more conservative counterparts.
Second, this research utilizes an international context to explore the role of national culture as an antecedent of alliance configurations in SMEs. Much of the management research that examines the role of alliance portfolio configurations has been constrained to a single country. For example, Goerzen and Beamish (2005) focused exclusively on Japanese multinational enterprises while Jiang et al. (2010) and Reuer and Ragozzino (2006) drew their sample from the global automobile industry, but did not account for the impact of national culture on their findings. Further, Duysters and Lokshin (2011) examined foreign alliance portfolios of Dutch firms and Filiou and Golesorkhi (2016) studied the management of international alliance portfolios in United Kingdom-based firms. Our research findings demonstrate that culture does have an important impact on SAP configurations by influencing the relationship between a firm’s EO and SAP diversity. However, we find that the influence of national culture is nuanced with one dimension strengthening the impact of EO on SAP diversity while two others weaken these effects. Future research should extend our findings to a broader range of national cultures and seek to develop a finer-grained understanding of how national culture influences other dimensions of SAP configuration.
From a practical perspective, our research provides entrepreneurs and small business managers with insight into how they can influence their SAP configurations to reap the benefits of an appropriately designed and managed SAP. Specifically, small businesses that seek the benefits of a more diverse SAP should be enhancing the EO of the firm. However, in doing so, the firms need to be cognizant of the impact of factors such as the national culture from which they originate that could either accentuate or attenuate the impact of SAP antecedents such as EO on their desired configuration outcomes.
