1. Introduction
Small-to-medium-size enterprises in the high-tech sector – hereafter, high-tech SMEs – are commonly believed to succeed as a function of their ability to rapidly respond to product-market opportunities that larger organizations fail to seriously consider (Qian & Li, 2003; Terziovski, 2010). While larger firms excel in the areas of manufacturing and marketing, high-tech SMEs are often noted to be industry leaders in the discovery and initial exploitation of opportunities for innovation (King et al., 2003). Innovation is repeatedly cited as a key driver of performance (Bowen et al., 2010; Epstein, 2004; Samad, 2012; Varadarajan & Ramanujam, 1990). To successfully realize the value-creating potential of innovation, high-tech SMEs need to be opportunistic, adaptable, and experimental (e.g., Acs & Yeung, 1999; O’Regan et al., 2005; Putniņš & Sauka, 2020; Rothwell, 1984). The value of exhibiting an entrepreneurial orientation (EO) – that is, the attributes that reflect what “being entrepreneurial” implies in a practical sense (Covin & Lumpkin, 2011; Wales et al., 2020) – is clearly suggested in writings on the management of high-tech SMEs, and reflects how firms exhibit risk-taking, innovativeness, and proactiveness (Covin & Slevin, 1989; Miller, 1983).
High-tech SMEs are often subject to critical resource constraints that can limit their ability to succeed in the pursuit of innovative initiatives. In particular, the smaller and often narrower resource bases of high-tech SMEs – relative to those of their larger counterparts – can preclude firms from successfully diversifying into new product-market or technology spaces (Aloulou & Fayolle, 2005). Additionally, the risks associated with innovation can be much higher for high-tech SMEs than their larger counterparts because the relative paucity of slack resources in smaller firms implies that their viability will more likely be jeopardized through failed innovative initiatives (Bradley et al., 2011; Cohn & Lindberg, 1972; Marom et al., 2019). Recent research shows that this relationship between firm size and innovation risk is particularly pronounced in small firms (Marom et al., 2019). Further, the more limited scope of their operations suggests that high-tech SMEs may lack the knowledge needed to effectively judge the attractiveness of entrepreneurial opportunities that exist beyond their current product-market and technological domains. Notably, firms that “stay the course” – maintaining business foci and objectives over longer periods – may more readily develop the knowledge and competencies needed to successfully pursue innovation in currently targeted as well as adjacent product-market and technology spaces (Zook & Allen, 2003)
While rapid responsiveness to entrepreneurial opportunities may be common among successful high-tech SMEs, these firms must also carefully manage their innovative efforts and remain appropriately focused and consistent in their objectives while potentially engaging in cooperative competition strategies that can enhance performance (Morris et al., 2007). Thus, a tension exists with respect to how much control should exist in the innovation management processes of high-tech SMEs, and the extent to which constancy of business objectives should be emphasized. Should high-tech SMEs try to leverage the benefits of their smaller and often more fluid organizations by opportunistically pursuing innovative initiatives in diverse domains, or are firm interests better served by exercising tight control over the foci and implementation plans of innovative efforts? Additionally, should high-tech SMEs be willing to modify or abandon their strategic objectives as new opportunities for value creation via innovative initiatives are recognized during the course of operations, or should these firms establish and adhere to long-term business objectives in the interests of concentrating their innovative efforts in chosen business domains and avoiding the distraction of an ever-evolving set of recognized innovation possibilities?
The primary purpose of this paper is to shed light on the aforementioned uncertainties by exploring the management of EO within the context of high-tech SMEs. It may be intuitive that firms embracing EO are most likely to thrive in uncertain or unstable environments that allow for great freedom in effort and are unceasingly evolving over time. These firms embody a willingness to contribute resources to projects with uncertain outcomes and persist in their embrace of uncertainty by frequently introducing new products and services or actively entering new spaces. Similarly, there has been a tendency to underplay the importance of controls and reporting systems within an organization as they are viewed synonymously with bureaucracy and inefficiency (Varadarajan & Ramanujam, 1990). However, what is found to be operational in the best-managed companies is neither strict oversight nor unchecked research activity, but rather the capacity to balance the demands of creativity and innovation without jeopardizing the need for control and discipline, which is rooted in a process of controlled decentralization (Goldsmith & Clutterbuck, 1984). By virtue of this lens, we propose that firm performance results from a calculated and perpetually managed dynamic equilibrium that exists between freedom to innovate, carefully guided design and implementation, and stability in guidance, support, and overall firm objectives over time. Through a survey of 136 high-tech SMEs, we explore two potential moderating variables – innovation control, which we define as the orientation towards guidance or freedom of innovative efforts within a firm, and constancy of objectives, which we define as stability of business objectives over time.
EO has emerged as a prominent construct in the strategic management literature, and externally focused variables (e.g., environmental or societal cultural variables) and inter-firm networking variables have received considerable attention (Boso et al., 2016; Marino et al., 2024), but variables internal to the firm remain relatively underexplored within the realm of EO (Covin et al., 2006; Lumpkin & Dess, 1996; Wales, Gupta, et al., 2013). Recent work examines the moderating influence of leadership style (Engelen et al., 2015), absorptive capacity (Engelen et al., 2014; Kohtamäki et al., 2019), social and family capital (Casillas & Moreno, 2010; Schepers et al., 2014; Stam & Elfring, 2008), and human resource management practices (Messersmith & Wales, 2013), and have incorporated capability-based and learning-oriented perspectives on how firms manage entrepreneurial initiatives (Brownell et al., 2025; Covin et al., 2025). Yet, studies continue to emphasize contextual or relational moderators of the EO–performance link rather than the internal managerial systems that enable EO to function effectively. The success of entrepreneurial initiatives often depends on both strategic focus and previous business experience (Harris et al., 2014), as well as individual trait and cognitive characteristics (Cools & den Broeck, 2007). This is surprising, as benefits from EO only occur when managers properly oversee entrepreneurial decisions and acts within their organizations. Investigation of internal processes and mechanisms is critical to understanding how firms effectively manage organizational-level entrepreneurial behavior.
Our study makes several important contributions to the literature. First, internal firm factors remain relatively underexplored within the realm of EO research (Covin et al., 2006; Lumpkin & Dess, 1996; Wales, Gupta, et al., 2013), and scholars have long recognized that studies of contextual influences on the relationship between EO and firm performance have been of limited practical utility (e.g., Covin et al., 2006; Wales, 2016; Wales, Gupta, & Mousa, 2011; Wiklund & Shepherd, 2005). Drawing on contingency theory logic (Donaldson, 2001), we argue that the effectiveness of EO is contingent upon the fit between entrepreneurial behavior and internal management systems. By sharply focusing on matters of practical significance to the management of EO, we show that the ability of a firm to act entrepreneurially is strengthened by a stable foundation of process and consistency. Second, we contribute to the broader management of innovation literature (e.g., Grimpe et al., 2019; Ketchen et al., 2007) by proposing a management planning and control philosophy which we term directive management, the enactment of which represents what is argued to be a valid, reasoned response to the predictable and recurring challenges faced by innovative companies. This perspective is explicitly grounded in contingency theory, which emphasizes that organizational effectiveness arises from the alignment between structural characteristics and strategic behaviors. In particular, two indicators of the larger construct of directive management – namely, the tight control of innovative initiatives and adherence to stable, long-term business objectives – are argued to strengthen the positive relationship between EO and firm growth rate.
Finally, this study contributes to the literature on managing high-tech SMEs (e.g., Hughes et al., 2022; Shirokova et al., 2020) by recognizing the conflicting managerial prescriptions that might be inferred from the literature regarding how such firms should be managed. We find that firms operate most entrepreneurially under conditions of stabilized uncertainty – where employee innovative freedoms are balanced with managerial control over the process to together provide ideal conditions for superior performance. This suggests that managing in a fashion that emphasizes tight control of new product-market initiatives and the establishment of stable, long-term business objectives may be particularly beneficial to entrepreneurial high-tech SMEs despite the fact that such firms are often regarded as having and benefiting from superior (relative to larger companies) abilities to explore novel and often highly speculative product-market opportunities as well as to change strategic direction or priorities.
2. Theoretical Background
2.1. The management of entrepreneurial orientation
Research has generally shown that an entrepreneurial orientation – as evidenced through the concurrent exhibition of risk taking, innovative, and proactive behaviors (Covin & Slevin, 1989; Miller, 1983) – is positively associated with various indicators of firm performance (Rauch et al., 2009), including firm sales growth rate (Anderson & Eshima, 2013; Bahadir et al., 2009; Eshima & Anderson, 2017; T. Wang et al., 2017). This relationship is particularly strong when firms develop their learning capabilities (Pett & Wolff, 2016) and absorptive capacity (Vincent & Zakkariya, 2021). An EO is particularly predictive of firm success in the high-tech sector, where innovation is a business imperative (McKenny et al., 2018; Rauch et al., 2009). Nonetheless, as concluded by Wales et al. (2011: 12), “internal constructs facilitating or impeding the application of EO are largely unexplored.” In particular, the management planning and control styles that complement the exhibition of an EO have not been the subject of extensive investigation. Moreover, the theoretical and empirical evidence paints a somewhat inconsistent picture of the specific types of management practices that should promote EO effectiveness.
Early research recognized that entrepreneurship operates most effectively when combined with complementary internal orientations. Hult, Snow, and Kandemir (2003) demonstrated that entrepreneurship interacts with innovativeness, market orientation, and organizational learning to build firm-level cultural competitiveness – a systemic, fit-based perspective that anticipates the configurational approach we adopt here. Other work indicates that EO is more positively related to sales growth rate when firm strategies are emergent rather than planned (Covin et al., 2006). Emergent strategies were argued to enable high EO firms to best exhibit the strategic flexibility that is often needed when navigating through novel product-market domains.
Based on this empirical evidence, at least two conclusions about effective management planning and control practices for high EO firms might be drawn. First, it might be concluded that control-focused management practices that limit leeway or managerial discretion in the implementation of new product-market initiatives are detrimental to the successful enactment of an EO. This is because promising high-variance entrepreneurial initiatives (i.e., those aimed at opportunities for which there is great dispersion in their possible performance outcomes) (Amabile, 1998) may too quickly be terminated when they first show signs of underperforming. Second, it might be concluded that adhering to long-terms plans that are formulated based on incomplete understandings of how entrepreneurial initiatives will evolve is of dubious utility. Consistent with this point, Sull (2005) argued that when managers cannot accurately predict or control how the future will unfold, as is typically the case for the managers of high-tech SMEs that exhibit an EO, a flexible vision is desirable “because it provides general direction and sets aspirations without prematurely locking the company into a specific course of action” (p. 124).
On the other hand, scholars have also argued that entrepreneurial strategies, as would be typical of firms that exhibit a high EO, must be carefully planned and controlled. As observed by Davila, Foster, and Oyon (2009), a new paradigm for the management of innovation has emerged that positions planning and control in a favorable light relative to the interests of entrepreneurial firms. Consistent with this paradigm, research by Goodale, Kuratko, Hornsby, and Covin (2011) revealed that the relationships between innovation performance and several of the known antecedents to corporate entrepreneurial activity – including management support for innovation, work discretion/autonomy, rewards/reinforcements, time availability, and organizational boundaries – are enhanced in the presence of certain operations control factors. Goodale et al. (2011, p. 124) conclude that “the exhibition of operations control is not antithetical to the interests of corporate entrepreneurship; it is inherent to those interests.” Additionally, within the context of dynastic family firms, Bergfeld and Weber (2011) observed that businesses thrived when they exhibited a consistent, long-term orientation toward innovation and avoided pursuing reactionary, market-triggered initiatives. Bergfeld and Weber’s (2011) observations are consistent with the premise that innovations are best managed under the purview of stable, long-term objectives. A rationale for this premise was provided by Lovas and Ghoshal (2000, p. 886) who noted that “suggesting new ideas and considering them for selection is costly to the firm. By concentrating the variation of new forms of the units of selection on a single objective function (the strategic intent), this cost can be reduced. This is the case because much ‘unnecessary’ variation can be weeded out at an early stage by the sources of variation themselves.”
2.2. The concept of directive management
The preceding discussion demonstrates how inconsistent conclusions can easily be inferred from the literature regarding the effective management of EO from a planning and control perspective. The crux of the equivocality is the extent to which the managers of entrepreneurial (i.e., high EO) firms should exhibit what can be referred to as directive management. The term directive management is occasionally used in micro-focused writings on individual leadership style as equivalent to autocratic or authoritarian management (e.g., Dunphy & Stace, 1993; Northouse, 2004). However, in the current study the term directive management is intended to capture a more macro-focused planning and control philosophy whereby managers are aware of the outcome uncertainty and often ambiguous importance associated with many organizational activities and initiatives. In their efforts to facilitate their organizations’ movement toward desirable future states, the managers provide direction and exercise careful and close evaluation and control of strategic initiatives (Lovas & Ghoshal, 2000). They also engage in efforts intended to create deep common understandings of their organizations’ purpose and focus through encouraging and adopting consistent principles and lasting objectives (e.g., Hamel & Prahalad, 1989). Intentionality, deliberate maneuvering, purposeful strategic actions, an outcome focus, stable goals and patterns of behavior, and adherence to a well-understood vision are organizational traits consistent with a directive management style. In essence, the practice of directive management can be thought of as an approach to leading organizations through – and appropriating value from – novel operating domains while avoiding distraction and the allocation of resources toward nonstrategic opportunities.
Although the term “directive” has been used in several related literatures, directive management is conceptually distinct from those constructs. Directive management differs from directive leadership (Krause et al., 2024; Valentino et al., 2025), which describes an individual leader’s behavioral control over subordinates – typically situational or episodic – whereas directive management reflects an organizational-level planning and control philosophy embedded in managerial systems. Similarly, it differs from participatory or plural leadership approaches (Flocco et al., 2021) that emphasize shared decision-making and employee voice; directive management instead prioritizes coherence, constancy, and managerial guidance to channel entrepreneurial energy toward collective strategic objectives. Finally, unlike autocratic leadership (Wagner, 1995), which is characterized by unilateral decision-making rooted in personal authority, directive management involves structured coordination and evaluation mechanisms designed to align distributed initiatives with enduring organizational intent. These distinctions underscore that directive management is not a behavioral leadership style but a system-level approach to managing entrepreneurship through purposeful control and alignment under uncertainty.
Notably, the concept of directive management is not well captured by any single or common management style typology. For example, the concept of a neo-scientific style as proposed by Khandwalla (1976–1977) contains elements of directive management as this latter concept is herein conceived. Both styles imply a heavy reliance on technocratic, data-driven management designed to place and keep firm operations and initiatives “on track.” But whereas a neo-scientific management style implies the use of participative management techniques, no such implication is associated with the concept of directive management as proposed here. This systemic view of management coherence also aligns with early configurational thinking in the entrepreneurship literature. Hult, Snow, and Kandemir (2003) highlighted that organizational effectiveness stems from the interplay among cultural and behavioral orientations, rather than from any single dimension in isolation. Extending this logic, directive management can be understood as a configurational system in which planning, control, and constancy jointly channel entrepreneurial activity toward consistent strategic outcomes.
While the practice of directive management as a response to leading organizations through novel operating domains will have many forms, we consider two indicators of the practice that are core to the concept – namely, innovation control, or the extent to which new product-market initiatives are closely evaluated and guided as they are implemented, and constancy of objectives, or the extent to which a firm’s business objectives remain stable over time. This conceptualization is grounded in contingency theory, which posits that organizational effectiveness arises from the fit between structural characteristics and strategic behaviors (Donaldson, 2001). We argue that the performance implications of EO depend on its alignment with these internal planning and control mechanisms. Thus, as operationalized in this study, directive management is a management planning and control philosophy that emphasizes the tight control of new product-market initiatives and adherence to stable, long-term objectives over the loose control of new product-market initiatives and a willingness to modify objectives as perceived necessary in the pursuit of opportunity or advantage. The value of the directive management of EO within the high-tech SME context is considered in the next section.
3. Hypothesis development
3.1. EO and innovation control
High-tech SMEs are often described as operating on an innovation treadmill; they need to continuously innovate just to keep up with market expectations and competitive offerings (e.g., King et al., 2003). As such, effectively managing the innovation process through the adoption of an appropriate innovation control system can be essential to these firms’ viability.
An important dimension along which innovation control systems can be distinguished is their degree of “tightness” (e.g., Thomaschewski & Tarlatt, 2010). In general, a tight innovation control system is one in which, for example, only formally targeted innovation opportunities are pursued, specific implementation plans are used to guide the development of new product-market initiatives, milestones are created to track the progress of new product-market initiatives, and deviations from implementation plans are quickly corrected. By contrast, a loose innovation control system is one in which the opposite conditions prevail: innovative efforts are allowed to emerge in unplanned fashion, specific implementation plans are seldom used to guide the development of new product-market initiatives, milestones are not rigorously employed to track the progress of new product-market initiatives, and these initiatives are treated as highly experimental, with lots of leeway being provided regarding their development.
From a contingency theory perspective, the effectiveness of an EO depends on its fit with internal control mechanisms. Firms exhibiting high EO are likely to achieve superior outcomes when their entrepreneurial initiatives are guided by systems and structures that align with their strategic behavior (Donaldson, 2001). While the employment of a tight innovation control system may seem to undermine an important basis of advantage associated with competitive success among smaller firms – that is, the often-superior ability to quickly and flexibly respond to new entrepreneurial opportunities (e.g., Qian & Li, 2003; Terziovski, 2010) – it is suggested that high-tech SMEs’ growth will be best promoted through the exhibition of an EO when tight innovation control systems are employed. To be clear, the innovation control focus being advocated is not aimed at limiting EO levels in high-tech SMEs but, rather, at ensuring that the innovation inherent to EO is closely and guided by evaluation and control processes.
The value of tight innovation control systems in the high-tech SME context derives from the likelihood that such systems will best protect the typically scarce resources of SMEs, which is an important consideration given the relative inability of these firms to withstand the adverse effects of failed innovation initiatives (Aloulou & Fayolle, 2005). That is, smaller firms, relative to their larger counterparts, typically operate with more modest resource bases, less organizational slack and, consequently, a diminished ability to absorb the losses associated with poor innovation choices (Aldrich & Auster, 1986). These observations are particularly salient considering evidence suggesting that defunct firms may actually have higher levels of EO at the time of their expiration relative to their surviving counterparts (Wiklund & Shepherd, 2011). Collectively, the preceding observations suggest the advisability of quickly redirecting or terminating potentially underperforming innovation initiatives in high-tech SMEs; thus, they favor a tight innovation control system. It is hypothesized:
Hypothesis (H1). The relationship between EO and sales growth rate is more positive among high-tech SMEs that exercise tight (rather than loose) control over their innovative initiatives.
3.2. EO and constancy of objectives
The dynamic, evolutionary nature of the high-tech sector facilitates the continual emergence of new opportunities for product-market innovation. High-tech SMEs commonly excel through rapidly responding to such opportunities (Kraus et al., 2009). Nonetheless, the wealth of opportunities often afforded by high-tech industries can invite distraction of managerial attention and investment in initiatives that are too numerous or too diverse. As noted by Goodale et al. (2011, p. 117), “entrepreneurial activity is not inherently focused, cumulative, productive, or strategically relevant.” Similarly, Getz and Tuttle (2001, p. 277) observed that the unbridled pursuit of corporate entrepreneurial activity will “tend to generate an incoherent mass of interesting but unrelated opportunities that may have profit potential, but that do not move [those] firms toward a desirable future.” Given the resource constraints under which high-tech SMEs operate, these firms must be particularly cognizant of managing the entrepreneurial process in a manner that promotes directionality and focus. It is argued that the presence of stable business objectives that remain largely constant over the long term will provide the focus needed to promote the successful exhibition of an EO. Consistent with contingency theory, the alignment, or misalignment, between a firm’s entrepreneurial posture and the stability of its strategic objectives is expected to determine the effectiveness of EO. Firms that maintain clear, constant objectives create a supportive internal context that channels entrepreneurial behavior toward coherent strategic ends.
The presence of consistent, stable objectives should enable high-tech SMEs to appropriate value from the exhibition of an EO for two principal reasons. First, stable business objectives promote an understanding of what the firm is trying to achieve (Hamel & Prahalad, 1989; Prasad, 2001), thus they discourage investment in entrepreneurial opportunities whose pursuit is of questionable strategic value. As such, resources will less likely be wasted in the SME’s pursuit of new growth trajectories that are ultimately rejected. This argument draws on assumptions that long-term, stable strategic intent will help concentrate managerial attention and decision-making around opportunity sets that align with core competencies – or dominant logics (Prahalad & Bettis, 1986). Second, the existence of stable business objectives can deepen the SME’s knowledge base in its chosen product-market domain(s) due to the path dependent nature of knowledge accumulation. Specifically, the value of knowledge pertaining to specific entrepreneurial opportunities tends to increase as a function of prior investments in the relevant knowledge domain (Shane, 2003). By remaining consistent in what they are striving to accomplish, high-tech SMEs are more likely to acquire deep knowledge pertinent to competitive success in their chosen businesses (Maidique & Hayes, 1984; Zook & Allen, 2003). As such, the presence of stable business objectives can enable high-tech SMEs to become good judges of the value of entrepreneurial opportunities and facilitate the successful exploitation of chosen opportunities. It is hypothesized:
Hypothesis (H2). The relationship between EO and sales growth rate is more positive among high-tech SMEs that adhere to stable (rather than changing) business objectives.
3.3. EO, innovation control, and constancy of objectives
The preceding paragraphs suggest that the relationship between EO and a high-tech SME’s performance (i.e., sales growth rate) will be moderated by the tightness of the innovation control system operating in the firm as well as the degree to which the firm’s business objectives remain stable over time. While presented as separate moderators of the EO-sales growth rate relationship, innovation control and constancy of objectives are also expected to interactively influence this relationship. That is, EO, innovation control, and constancy of objectives are expected to have a three-way interactive effect on the sales growth rate of high-tech SMEs. This hypothesis reflects a configurational interpretation of contingency theory: performance outcomes emerge not from any single managerial practice, but from the fit among multiple internal design elements and entrepreneurial behavior (Donaldson, 2001; Hult et al., 2003).
The rationale for this expectation is that, as suggested by Morris, Allen, Schindehutte, and Avila (2006) and Davila et al. (2009), innovation control systems tend to be most successful at facilitating the success of entrepreneurial efforts when the goals of the organization are considered in the design of those systems. Such consideration will more likely be granted if the firm’s objectives remain constant over time (Hamel & Prahalad, 1989). Moreover, the combined presence of tight innovation controls and stable, long-term business objectives would suggest that high-tech SMEs are acting in accordance with well understood and accepted beliefs about which and how innovative initiatives will lead to sought-after firm outcomes. In other words, the innovative initiatives become linked together and guided by both a common sense of firm purpose and a dominant logic that exists, in part, because of the extended time over which specific objectives have been embraced (see Prahalad & Bettis, 1986). When high-tech SMEs exhibit an EO within such a context, the resultant acts of new product-market entry will more likely exhibit consistency and strategic focus, thereby productively leveraging firm knowledge and other resources. Accordingly, it is hypothesized:
Hypothesis (H3). The relationship between EO and sales growth rate is moderated by the joint effects of innovation control and constancy of objectives such that this relationship is most positive among high-tech SMEs that concurrently exhibit tight control over their innovative initiatives and adhere to stable business objectives.
4. Methods
4.1. Sample and data collection
EO is typically assessed by surveying top management (Rauch et al., 2009). Given that strategic awareness can drop off precipitously beyond the top management level (Hambrick, 1981), the senior-most executives of the targeted firms were contacted as possible respondents for this research. In total, 591 high-tech SMEs operating in five Midwestern states were targeted. All 591 firms operated in technology-based industries, using the SIC codes employed in prior research (i.e., Certo et al., 2001) as the basis for the high-tech designation. Additionally, all 591 firms were manufacturing based and employed fewer than 500 persons. The average firm size was 46 employees (SD = 73), consistent with SME-focused EO research (e.g., Marom et al., 2019). Firms that did not respond to the initial participation request were contacted up to three more times via e-mail. Data were eventually received from 183 firms for a response rate of 31%. Of the 183 responding firms, 136 are included in the current research. The 47 firms deleted from the research were eliminated due to missing data, most of which involved the dependent variable whose computation required that multiple years of sales data be obtained for each firm. Descriptive data on the sample characteristics as well as the firms’ mean and standard deviation scores on the research variables are shown in Table 1.
4.2. Measures
Industry-adjusted sales growth rate was employed as the performance indicator. Specifically, a three-year average sales growth rate was computed for each firm and the average growth rate in the firm’s principal industry for that same period (as obtained from Dun and Bradstreet’s Industry Norms and Key Business Ratios) was then subtracted from this figure. The resulting variable indicates how slowly or rapidly the firm is growing relative to its industry rivals. An industry-adjusted performance variable was deemed necessary given the multiple industries (albeit all in the high-tech sector) represented in the sample. Sales growth rate was chosen as the DV in recognition of this variable’s relevance to entrepreneurial context (see, for example, Covin et al., 2006; Rauch et al., 2009; Wiklund et al., 2009).
As can be seen in Table 1, the mean industry-adjusted sales growth rate for the study firms is close to zero (i.e., -0.147%), which suggests that industry performance effects have likely been eliminated from these firms’ performance scores.
Entrepreneurial orientation was assessed using the scale employed by Covin and Slevin (1989). Innovation control was assessed using a scale developed expressly for this research (see Appendix). Lower mean values on the innovation control scale indicate a looser orientation toward innovation control, while higher mean values indicate a tighter orientation. Constancy of objectives was also assessed using a scale developed expressly for this research (see Appendix). Lower mean values on the constancy of objectives scale indicate the presence of unstable business objectives for the firm, while higher mean values indicate the presence of stable objectives.
The convergent validity of the newly developed measures was assessed by correlating these scales with other measures that are theoretically expected to co-vary with these measures in certain directions. Specifically, the innovation control scale was correlated with a two-item scale (alpha = 0.78) that measures the frequency with which the performance outcomes of new product-market initiatives are assessed. As expected, these measures are positively correlated: r = 0.41, p < 0.001. The constancy of objectives scale was correlated with a four-item scale (alpha = .86) that measures the stability of the firm’s business strategy over time. As expected, these measures are positively correlated: r = 0.68, p < 0.001.
Firm age (years) and firm size (number of employees) were controlled given the observed effects of these variables in prior research on the EO-performance relationship (e.g., Anderson & Eshima, 2011). Environmental hostility and environmental technological sophistication were assessed and controlled using perceptual measures adapted from Miller and Friesen (1983) and Covin, Slevin, and Heeley (2001). For both variables, higher mean scores indicate higher levels of the phenomenon. These measures were treated as control variables because the exhibition of EO can be strongly influenced by perceptions of the environmental (Rosenbusch et al., 2013; Wales, Patel, et al., 2013). Examples of items from the seven-item hostility scale are “The failure rate of firms in my industry is high” and “Attractive market opportunities are scarce in my industry.” Examples of items from the seven-item technological sophistication scale are “Heavy investments in R&D are characteristic of my industry” and “The widespread employment of new or advanced product or process technology is characteristic of my industry.” Environmental technological sophistication was included as a control variable despite the current sample’s focus in the high-tech sector because the EO-performance relationship can vary significantly across SMEs in this sector (Covin et al., 1990). As demonstrated by the minimal correlation between the hostility and technological sophistication scales in the current sample (r = .04), these two measures appear to be capturing distinct dimensions of the perceived environment.
4.2.1. Secondary respondent data
Studies of EO within SMEs usually target only the firms’ presidents or CEOs as the survey respondents. Due to knowledge drop-off beyond the president/CEO level, reliance on the beliefs and observations of single, senior-level respondents is generally regarded as appropriate within the context of SME research focused on overall organizational or strategic matters (see, for example, Merz & Sauber, 1995; Wiklund & Shepherd, 2003). Nonetheless, for measure corroboration purposes additional data from secondary respondents (also senior-level executives) were collected from a subset (N = 34) of the responding firms. Notably, for each of the eight variables employed in this study, results of paired-sample t-tests indicated no differences (i.e., p > 0.05 in all cases) in the mean scores of these variables within the two-respondent firms.
4.3. Analytical techniques
The hypotheses were tested using moderated regression analysis, per the procedure suggested by Cohen, Cohen, West, and Aiken (2003). After mean-centering, the variance inflation factors for all variables were well within the parameters suggested by Hair, Black, Babin, and Anderson (2010). We extended the model with an instrumental variable approach in order to evaluate endogeneity through the potential correlation between the disturbance terms of the variables and to provide a more consistent estimation (Ketokivi & McIntosh, 2017). The estimated path coefficients show similar results and when simultaneously estimated, covariances between the residuals are insignificant.
5. Results
The results of the moderated regression analysis are shown in Table 2. Model 1 includes only the control variables. Firm age is the only control variable with a significant effect on sales growth rate (p < 0.05); the younger firms in the sample exhibit higher sales growth rates. Model 2 adds EO, innovation control, and constancy of objectives to the set of control variables. As demonstrated in this second model, and consistent with the majority of research on the EO-performance relationship (Rauch et al., 2009), EO has a positive effect on sales growth rate. The size and statistical significance of this effect are modest (p < 0.10), as is the case in past research that has employed similar research methods (e.g., Covin et al., 2006).
Model 3 adds the two-way interaction terms to the prior set of included variables. Results indicate positive and significant betas for the EO × innovation control interaction term (p < 0.05) and the EO × constancy of objective interaction term (p < 0.01). These results support hypothesis 1 and 2, respectively. Moreover, hypothesis 3 is supported by the positive and significant beta (p < 0.01) associated with the three-way interaction term (EO × innovation control × constancy of objectives) shown in Model 4.
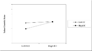
The interaction effects were plotted following the procedure suggested by Cohen et al. (2003). Figure 1 demonstrates that the relationship between EO and sales growth rate in high-tech SMEs is most positive among those firms exhibiting high levels of (i.e., tight) innovation control. Notably, Figure 1 suggests that lower levels of (i.e., loose) innovation control is more conducive to sales growth among the low-EO firms in the sample. Perhaps the general aversion of these more conservative firms to innovation results in the consideration of only narrowly defined sets of growth opportunities. The removal of restrictions to the innovation process via loose innovation controls may minimize the number of “false negative” new product-market initiatives considered by low-EO firms (i.e., the number of promising initiatives that are too quickly redirected or terminated), increasing these firms’ likelihood of realizing rapid growth.
Figure 2 demonstrates that the relationship between EO and sales growth rate in high-tech SMEs is most positive among firms exhibiting constancy of objectives – i.e., long-term stability in their business objectives. Moreover, Figure 2 reveals that that sales growth rate is highest among low-EO firms when they exhibit low constancy of objectives and among high-EO firms when they exhibit high constancy of objectives. Thus, while changing the objectives of the business may be a reactionary and largely counterproductive move among more entrepreneurial high-tech SMEs, such change may reflect opportunistic strategic redirection and spur growth among more conservative high-tech SMEs.
Finally, Figure 3 demonstrates that the relationship between EO and sales growth rate in high-tech SMEs is most positive among those firms that exhibit both high innovation control and high constancy of objectives. Notice that the slope of the high innovation control-high constancy of objectives line is particularly steep in Figure 3. This suggests that low-EO firms are particularly disadvantaged in a growth-promoting sense by this combination of management practices, while high-EO firms are particularly rewarded by it. By contrast, EO is least positively associated with firm growth among high-tech SMEs that exhibit the combination of low innovation control and low constancy of objectives.
6. Discussion
The template for facilitating growth via planning and control of entrepreneurial initiatives among high-tech SMEs is inconsistently depicted in the literature. As such, conflicting prescriptions might be drawn from existing theory and research regarding the successful EO management practices for such firms. High-tech SMEs are often recognized as promoters of economic growth and engines of industry renewal (e.g., King et al., 2003; Narayanan, 2001). These positive outcomes can be facilitated through EO management practices that allow for the pursuit of high-variance entrepreneurial opportunities that redefine the scope or aims of firm strategy. Research has shown this is particularly true in emerging economies (Boso et al., 2016) and when firms develop their absorptive capacity (Vincent & Zakkariya, 2021). As such, a management planning and control philosophy that invites the pursuit of wide-ranging opportunities would seem to best serve the interests of high-tech SMEs that exhibit an EO. After all, new growth opportunities are often discovered at the peripheries and interstices of established product-market domains. Due to characteristically high levels of responsiveness and flexibility, high-tech SMEs are often well positioned to exploit opportunities.
However, the current research suggests that conventional wisdom regarding the effective management of EO among high-tech SMEs may be misleading. Rather than loosening control over how new product-market initiatives are planned and implemented and frequently redefining business objectives in accommodation of emerging or newly recognized entrepreneurial opportunities, high-tech SMEs are advised to employ directive management as the operating management philosophy that guides EO. As grounded in contingency theory, our findings suggest that EO effectiveness depends on the fit between a firm’s entrepreneurial posture and its internal planning and control systems. Within the context of the current research, this means exhibiting tight control over new product-market initiatives and maintaining consistency in the firms’ business objectives. A contingency perspective highlights that no single management approach is universally superior; instead, performance benefits of EO arise when organizational structures and managerial practices are internally consistent with the firm’s strategic context. Directive management guides innovative efforts of high-tech SMEs along predetermined paths such that resource losses due to failed initiatives are minimized and competencies are created and leveraged in product-market domains of understood and lasting strategic relevance to the firm.
6.1. Theoretical implications
The current research has several theoretical implications. First, the current research suggests that the successful management of EO among high-tech SMEs is not simply a matter of “unleashing” the entrepreneurial potential of the firm and embracing the resultant new product-market opportunities as paths to firm growth. Recognized opportunities must be selectively pursued in domains that make strategic sense for the firm and that enable the firm to leverage existing knowledge while minimizing the potential for catastrophic losses. In essence, the effective management of EO in high-tech SMEs requires the presence of a control-oriented focus that maintains adherence to stable, long-term business objectives and places formal parameters around innovation implementation processes. From a contingency theory lens, this implies that EO effectiveness is conditional upon the internal fit between entrepreneurial behavior and the firm’s planning and control systems. Our contribution lies in the recognition that internal structural alignment between EO and directive management systems is a critical condition for realizing EO’s performance benefits, thus extending insights by Hult et al. (2003) explaining how entrepreneurship functions most effectively when embedded within mutually reinforcing cultural orientations. Our work similarly suggests that EO’s value in high-tech SMEs is maximized through its fit with directive management’s dual elements of control and constancy.
Moreover, the relatively large proportions of variance explained by both the two-way and three-way interactions are noteworthy, particularly given the modest sample size. These results underscore the empirical strength of the proposed contingency-based configuration linking EO, innovation control, and constancy of objectives. In line with contingency theory (Donaldson, 2001), this pattern of strong interactive effects suggests that directive management provides a powerful internal alignment mechanism through which entrepreneurial orientation translates into superior performance. The magnitude of the explained variances thus reinforces both the theoretical relevance and practical salience of directive management as a system-level construct capable of amplifying EO’s performance benefits under conditions of limited resources.
Second, and related to the preceding point, the current research suggests that EOs should be enacted within high-tech SMEs in manners that reflect the concurrent needs for (1) sustained value creation via the pursuit of innovative initiatives and (2) consistency of response as facilitated through the establishment of stable objectives and deliberate, carefully considered metrics through which innovative initiatives are implemented. To be clear, the argument is not simply that high-tech SMEs should be managed ambidextrously (Tushman & O’Reilly, 1996), exploitation and exploration should be balanced in high-tech SMEs (March, 1991), or that order and disorder are inherent to such firms (Maidique & Hayes, 1984). Rather, the argument is that strategic relevance and a high degree of fit with any given firm’s resources and bases for competitive success are not inherent to entrepreneurial opportunities. Such opportunities are only potentially meaningful and value-creating in a context-specific sense, so high-tech SMEs must exercise both restraint and intent in their exhibition of EO to serve the firms’ purposes. Our introduction of directive management provides a new theoretical mechanism for achieving this context-specific alignment, integrating two distinct internal levers – control over innovation and constancy of objectives – into a single concept. This marks a departure from prior work that typically considers such variables independently, or privileges external environmental fit over internal coordination. In doing so, we position directive management as a firm-level contingency configuration that aligns structural control and entrepreneurial orientation to optimize performance. This represents a shift from “additive” to “configurational” logic in theorizing EO’s effects.
A third theoretical implication of the current research is that espoused theory pertaining to enlightened strategic management practice among high-tech SMEs does not adequately consider the likelihood or costs of failure associated with innovative efforts or the liabilities of smallness incurred by SMEs. While evidence suggests that while the exhibition of an EO is generally associated with superior firm performance (Rauch et al., 2009), EO levels may actually be higher, on average, among defunct firms at the time of their failure than among surviving firms (Wiklund & Shepherd, 2011).This finding can be understood in light of the fact that EO implies risk taking, and the assumption of risk jeopardizes firm resources and, possibly, firm viability. Notably, when SMEs operate in manners identified as leveraging their often-superior abilities to change strategic direction, pursue niche opportunities, experiment with ventures of indeterminate value, and exploit the creative potential of their human resources, these firms’ efforts can become diffused, noncumulative, and ill-considered, with limited or poor performance being a likely consequence. Moreover, while evidence suggests that SMEs contribute to overall economic vibrancy and growth (see Acs & Yeung, 1999; Rothwell, 1984), many SMEs in the high-tech sector expire as a function of their typically modest levels of organizational slack and consequent inabilities to absorb the losses associated with failed or underperforming innovative initiatives (Bradley et al., 2011; Goss, 1991). This relationship between firm size and innovation risk is particularly pronounced in small businesses (Marom et al., 2019), though it can be mitigated through organizational learning (Pett & Wolff, 2016). From a contingency lens, this reinforces the premise that the efficacy of EO depends on situational appropriateness or fit between entrepreneurial behavior, internal management systems, and resource conditions. Thus, while theory recognizes that high-tech SMEs thrive by acting adaptively and opportunistically, the touted reactionary and “swarming” behavior of such firms discussed in the literatures on entrepreneurship, innovation management, and technological change (e.g., Christensen & Bower, 1996; King et al., 2003; Schumpeter, 1934) often results in a few “winners” and many “losers.”
In short, the literature on effective management practice among high-tech SMEs arguably underplays the risks associated with pursuing emergent and potentially diverse entrepreneurial opportunities and overlooks the heightened need (due to resource constraints) for these firms to carefully manage the risks inherent to their innovative initiatives. We contribute to this discourse by identifying directive management as a theoretically grounded approach to mitigating risk that helps explain why some entrepreneurially oriented SMEs scale successfully while others fail.
6.2. Limitations and future research directions
Related future research is suggested in three areas. First, future research might productively explore the extent to which organizational slack influences the manifestation and effects of directive management among high-tech SMEs. A rationale proposed in the current research for the adoption of directive management among high-tech SMEs exhibiting strong EOs was that such management would likely minimize losses from failed or underperforming innovative initiatives. It was argued that directive management is appropriate for high-tech SMEs, in part, because of these firms’ characteristically limited or thin resource-related buffers against failure. Research might explore more directly whether organizational slack does, in fact, affect the employment of directive management in such firms. Additionally, it might be the case, as suggested by Wiklund and Shepherd’s (2005) research, that organizational slack mitigates the need for directive management among high-tech SMEs exhibiting strong EOs because higher-slack firms can afford to sustain greater losses from failed innovative initiatives.
A second extension of the current research suggested for consideration is identification of alternative (to directive management) managerial approaches, capabilities, or orientations that may affect the EO-performance relationship among high-tech SMEs. For example, research by Wang (2008) suggests that a learning orientation mediates the relationship between EO and firm performance. Given the criticality of learning to the successful navigation of technology-based industries (e.g., Chiesa & Frattini, 2011), perhaps high-tech SMEs will realize the greatest benefit from acting entrepreneurially – i.e., exhibiting a high EO – when the firms’ managers are proficient learners. Likewise, future research might explore the possibilities that the EO-performance relationship is enhanced among high-tech SMEs in the presence of strategic decision comprehensiveness (Heavey et al., 2009), the ability to establish strong external network ties (Lee et al., 2001), and strong intellectual property appropriability regimes (Teece, 1986).
Finally, additional manifestations of the concept of directive management should be considered for examination. The current research presents directive management as a management planning and control approach aimed at enabling managers to effectively respond to the types of uncertain and ambiguous situations in which highly innovative firms often find themselves, but the two explored indicators of directive management arguably only capture part of the construct’s likely manifestation. Additional extensions might explore how strategic focus and previous business experience affect EO implementation (Harris et al., 2014), how cooperative competition strategies influence innovation outcomes (Morris et al., 2007), and how cultural factors shape strategic alliance formation in entrepreneurial SMEs (Marino et al., 2024).
Several limitations should be acknowledged. First, the sample size (N = 136) limits the statistical power available for detecting complex interaction effects, such as the three-way interaction tested in this study. Although the result was statistically significant and theoretically consistent, it should be interpreted with caution and warrants replication in larger samples. Second, all firms employed fewer than 500 individuals, with an average of 46 employees (SD = 73), which reflects the small-business focus of EO research but precludes conclusions about larger firms. Finally, the cross-sectional study design limits causal inferences. Longitudinal data could offer deeper insight into the dynamic nature of EO management practices over time.
7. Conclusion
In conclusion, while conventional wisdom regarding high-tech SME management often favors what Burgelman and Grove (2007) call “letting chaos reign,” our findings suggest that “reining in chaos” through directive management may be more beneficial. The success of EO in high-tech SMEs appears to depend on imposing disciplined innovation processes and maintaining stable objectives (Drucker, 1998). Our research demonstrates that directive management, characterized by tight innovation control and adherence to stable objectives, is essential for effectively managing EO in high-tech SMEs.


